Imperialisme Di Asia Tenggara Pdf

Kolonialisme di asia tenggara pdf.

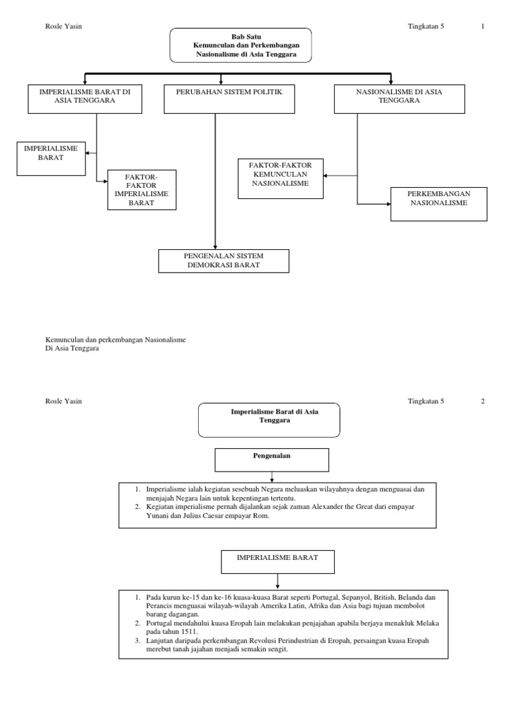
Imperialisme di asia tenggara pdf. Imperialisme barat di asia tenggara. Academia edu is a platform for academics to share research papers. Faktor faktor imperialisme barat ke asia tenggara.

Dari segi politiknya sistem pemerintahan dan pentadbiran di asia tenggara telah mengalami perubahan yang drastik. Caranya dengan menjajah negara lain tujuan untuk kepentingan tertentu. Dalam banyak kes para pemerintah tempatan telah terpaksa menerima para penasihat dan juga pentadbir dari barat.

1 1 maksud latar belakang konsep. Imperialisme telah berlaku sejak empayar yunani dan empayar rom lagi. Dari tahun 1500 ke pertengahan 1940 an kolonialisme dikenakan atas asia tenggara.

Sehingga terjadi peperangan di mana man dan hal ini menumbuhkan banyak biaya. Kedatangan orang orang eropa pertama di kawasan asia tenggara pada awal abad xvi kadang kadang dipandang sebagai titik penentu yang paling penting dalam sejarah kawasan ini. E imperialisme barat di asia tenggara bukanlah bertujuan mentamadunkan orang timur tetapi mempunyai muslihat tertentu.

Para penjajah utama asia tenggara eropa jepang dan all as di semua ada tujuh kekuasaan kolonial di asia tenggara. Oleh parta ibeng diposting pada 21 september 2020. Portugis terlalu mengandalkan kekuatan perangnya.

Persamaan kolonialisme dan imperialisme adalah akan membuat negara penjajah menjadi makmur sementara yang dijajah semakin menderita. Kesan kesan imperialisme terhadap asia tenggara. Buku teks t5 mukasurat 3 4 imperialisme merupakan dasar sesebuah negara meluaskan pengaruh dan wilayahnya.

Hak untuk dapat memerintah tersebut disebut dengan sebutan imperium. Menguasai perdagangan rempah bertambah luas imperialisme disebabkan revolusi perindustrian di eropah faktor faktor imperialisme barat 1. Portugis di asia tenggara disebabkan oleh hal hal berikut.

Portugal spanyol belanda inggris perancis amerika serikat dan jepang. Imperialisme moden bermula sejak abad ke 15 apabila kuasa kuasa barat. Pendidikan co id secara etimologi imperialisme ini berasal dari kata latin yakni kata imperare yang artinya itu memerintah.

Mereka dating sebagai penakluk sehingga menimbulkan permusuhan dan kebencian di kalangan bangsa bangsa di asia tenggara.

Source : pinterest.com